Skip to main content
HomeReuschVirtual Textbook Non-ionic ReactionsPericyclic Reactions Examples

Cycloaddition Reactions

An assortment of thermal and photochemical cycloaddition reactions are shown here. The photochemical reactions are noted by a over the arrow. The reader should inspect each reaction to determine whether it has a 4n or a 4n+2 electron transition state, and deduce the expected stereochemistry. By clicking on the diagram this information will be displayed.

Virtual Textbook: Non-ionic Reactions — Pericyclic Reactions Examples, figure 1

End of this supplementary topic

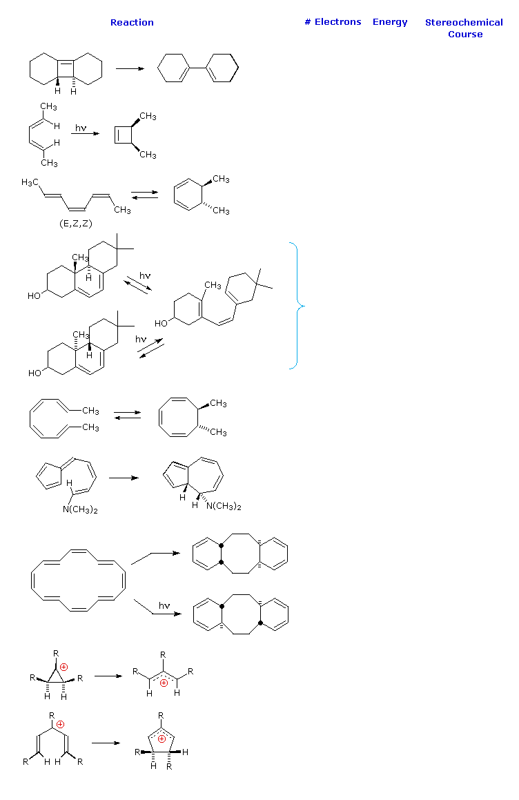
Electrocyclic Reactions

An assortment of thermal and photochemical electrocyclic reactions are shown here. The photochemical reactions are noted by a over the arrow. The reader should inspect each reaction to determine whether it has a 4n or a 4n+2 electron transition state, and deduce the expected stereochemistry. By clicking on the diagram this information will be displayed.

Virtual Textbook: Non-ionic Reactions — Pericyclic Reactions Examples, figure 2

End of this supplementary topic

Sigmatropic Reactions

An assortment of thermal sigmatropic reactions are shown here. The reader should inspect each reaction to determine whether it has a 4n or a 4n+2 electron transition state, and deduce the expected stereochemistry. By clicking on the diagram this information will be displayed.

Virtual Textbook: Non-ionic Reactions — Pericyclic Reactions Examples, figure 3

End of this supplementary topic

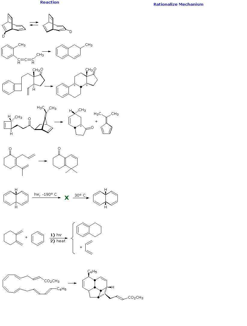
Combinations of Pericyclic Reactions

A collection of multistage pericyclic transformations are presented here. Photochemical reactions are noted by a over the arrow. The reader should dissect each overall reaction into its component steps, and classify each as having a 4n or a 4n+2 electron transition state. By clicking on the diagram this information will be displayed.

Virtual Textbook: Non-ionic Reactions — Pericyclic Reactions Examples, figure 4

End of this supplementary topic